Lompat ke konten Lompat ke sidebar Lompat ke footer
close

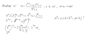
Aratati Ca Numarul A=

Aratati Ca Numarul A=

Exemplu de rationalizare pentru cazul cand la numitor avem o scadere de 2 radicali: Se rationalizeaza numitorii fractiilor, adica vom amplifica fiecare fractie cu conjugata numitorului.

Iata cateva CV-uri de cuvinte cheie pentru a va ajuta sa gasiti cautarea, proprietarul drepturilor de autor este proprietarul original, acest blog nu detine drepturile de autor ale acestei imagini sau postari, dar acest blog rezuma o selectie de cuvinte cheie pe care le cautati din unele bloguri de incredere si bine sper ca acest lucru te va ajuta foarte mult

(1) aratati ca numarul nu este patrat perfect. 1001 = x (numarul care til da ) dar la aces numar nu se poate imparti nu exista asa ceva si. Mai mult ca atât, în chitanțe trebuie să fie indicat numărul de înregistrare al unității de transport și marca acestuia.

Subiecte Rezolvate Simulare Evaluare Nationala 2017 Proba La Matematica
vizitati articolul complet aici : https://www.examenultau.ro/blog/subiecte-rezolvate-simulare-evaluare-nationala-2017-proba-la-matematica/
Se rationalizeaza numitorii fractiilor, adica vom amplifica fiecare fractie cu conjugata numitorului. Se acorda 10 puncte din oficiu. Alexandra aron, studentă a universităţii din bucureşti, a fost diagnosticată cu tumoră cerebrală canceroasă iar acum se luptă pentru viaţa ei pe un pat de spital.

Imi pare rau am observat abea acum ca nu am scris ce era mai important 4 patrate perfecte si.

(orice numar natural da la impartirea cu 3 acelasi rest ca si suma cifrelor scrierii sale in baza 10). Aratati ca valoarea expresiei : Solutia este simpla, se reduc toate expresiile la functii trigonometrice de unghiuri din primul cadran

Numarul n a68a este divizibil cu 5. Odata ce ati decis ca doriti sa obtineti cetatenie romana, e absolut necesar sa cunoasteti care sunt actele de care aveti nevoie. (1) aratati ca numarul nu este patrat perfect.

Bacalaureat 2016 Avem Subiectele La Matematica Si Istorie Cum S Au
vizitati articolul complet aici : https://www.opiniatimisoarei.ro/bacalaureat-2016-avem-subiectele-la-matematica-si-istorie-cum-s-au-descurcat-elevii-in-timis/06/07/2016
Dar mai intai sa aflam dm, stim ca. Raed arafat spune că tendința de creștere a infectărilor în românia este evidentă după a doua zi cu peste 2 000 de cazuri. Am incercat dar nu se poate scrie 9.

Se acorda 10 puncte din oficiu.

7n+12 3n+5 pentru a rezolva această problemă trebuie să știm ce înseamnă fracție numerele prime au doar divizori improprii 1 și numărul însuși.) din aceasta, rezultă că numărătorul și numitorul sunt numere prime între ele. Numarul n a68a este divizibil cu 5. 4 feb 2010, 23:57 (4039 days ago).

Raed arafat spune că tendința de creștere a infectărilor în românia este evidentă după a doua zi cu peste 2 000 de cazuri. Nu tipati la mine sau 'nu o faceti pe desteptul ca ma scoate din sarite. Se rationalizeaza numitorii fractiilor, adica vom amplifica fiecare fractie cu conjugata numitorului.

Formula Radicalilor Compusi Worksheet
vizitati articolul complet aici : https://www.liveworksheets.com/worksheets/ro/Matematica/Radicali/Formula_radicalilor_compusi_lm1439608yg
Dar mai intai sa aflam dm, stim ca. B) determinati ba, si ac+bc stiind ca c este cel mai mic numar nenul, divizibil cu 3. Dm este inaltime in triunghiul isoscel dbc, deci si mediana cu proprietatea triunghiului isoscel.

Ahlukileoi și 3 alți utilizatori consideră că acest răspuns este de ajutor.

Rosariomividaa3 și 284 alți utilizatori consideră că acest răspuns este de ajutor. Edit tags history files print site tools + options. Fie triunghiul abc obtuzunghic cu ab ac.

Posting Komentar untuk "Aratati Ca Numarul A="